Spiridon Amical Limousin

La perf d'accord, la fête d'abord

  • Accueil
  • Bulletin d’adhésion
  • Bureau du club 2026
  • Spiridon France
  • News
  • Liens autres sites
Spiridon Amical Limousin
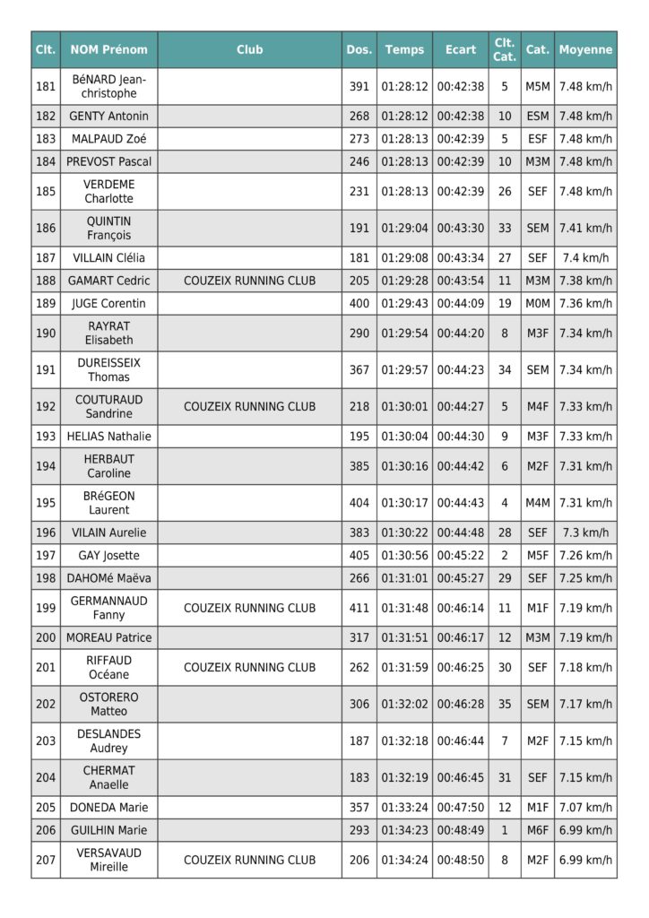
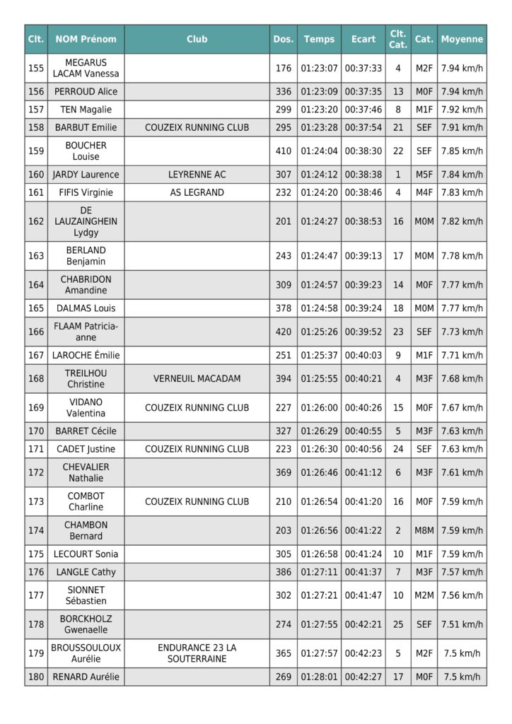
RESULTATS 

01/03/2026- AMBAZAC Trail du Dolmen

02/03/202608/03/2026 admin
  • ← Photos Jan- Fév 2026
  • Classement du Challenge coureurs →

Retrouvez-nous

Bienvenue sur notre site

Vous pouvez nous rendre visite à la Maison des Associations, 40 Rue Charles Silvestre  87100 Limoges, perm. les vend. 18h- 19h30

Pour joindre un membre du bureau, voir la rubrique “Bureau du club” sur le bandeau supérieur de ce site

Facebook: https://www.facebook.com/Spiridon-Amical-Limousin-2059967860912172

adresse mail: spiridon87@gmail.com

Menu

  • CALENDRIER COURSES 2026
  • CALENDRIER RANDONNEES 2026
  • CHALLENGE COUREURS
  • PHOTOS
  • RESULTATS

Inscriptions Courses

  • 19 avr- ISLE Trail Nature (9h)
  • 25 avr- ST JUNIEN Trail des Gantiers (18h)
  • 26 avr- CHATEAU CHERVIX Ekiden Trail de la Tour (9h)
  • 01 mai- ST LEONARD Miauletou Trail (9h)
  • 03 mai- AUREIL Boucles (9h15)
  • 09 mai- COUZEIX Caval Run (17h)
  • 23 & 24 mai- AMBAZAC Gendarmes & Voleurs de Temps
  • 30 mai- FEYTIAT Nocturne (à partir 18h30)
  • 31 mai- RILHAC Les Gazelles (10h)
Copyright © 2026 Spiridon Amical Limousin. Tous droits réservés.
Theme ColorMag par ThemeGrill.. Propulsé par WordPress.